色情游戏

/ / / / / English

请党和人民在疫情防控阻击战中考验我!—— 色情游戏 517份思想汇报背后的决心与感动

发布时间:2022-01-04 访问:

2021年12月中旬,新冠肺炎突袭色情游戏 ,打赢疫情防控阻击战的号角吹响,一大批学生党员,发展对象,入党积极分子在党旗的引领下纷纷加入了志愿服务的队伍。在此次疫情防控阻击战中,我们看到了无数党员“逆行者”们的责任与担当,短短十几日,却场景万千,记忆绵长。一批又一批志愿者冲锋在最前线,他们心中有信仰,脚下有力量,在党旗的引领下,用行动彰显志愿服务精神,用自己的挺身而出为长大师生筑起了坚实的生命安全堡垒。

色情游戏 本科生党支部学生党员、发展对象、入党积极分子在这个共同抗击新冠肺炎疫情的关键时刻,纷纷向党支部递交思想汇报,汇报自己的所思所想所悟。学院共计收到学生党员、发展对象和入党积极分子思想汇报共517份,总的来看,战胜疫情的信心坚定,抗疫精神感受深刻,自我价值定位明确。

以下是各支部思想汇报的优秀代表:

本科生第一党支部预备党员朴辛遥在思想汇报中提到通过参加志愿服务活动,用自己实际行动践行了入党誓词,用担当坚守印证了初心使命,一定会和党“疫”路同行,共同战胜新冠肺炎疫情。

本科生第一党支部预备党员朴辛遥的思想汇报



本科生第一党支部预备党员李明阳在汇报中写道:“党员”二字所代表的是一种品质、一种担当、一种“随时准备为党和人民牺牲一切”的勇气与决心,他表示:“一名共产党员,在困难来临时、需要有人站出来时,一定会毫不犹豫地挺身而出!“

本科生第一党支部预备党员李明阳的思想汇报

本科生第二党支部预备党员吴凯在思想汇报中表达自己坚定跟党走的决心,同时表示我辈青年要始终有坚持奉献自我,敢于担当,只争朝夕,不负韶华的精神,要以踏实的行动践行“请党放心,强国有我”的青春誓言。

本科生第二党支部预备党员吴凯的思想汇报

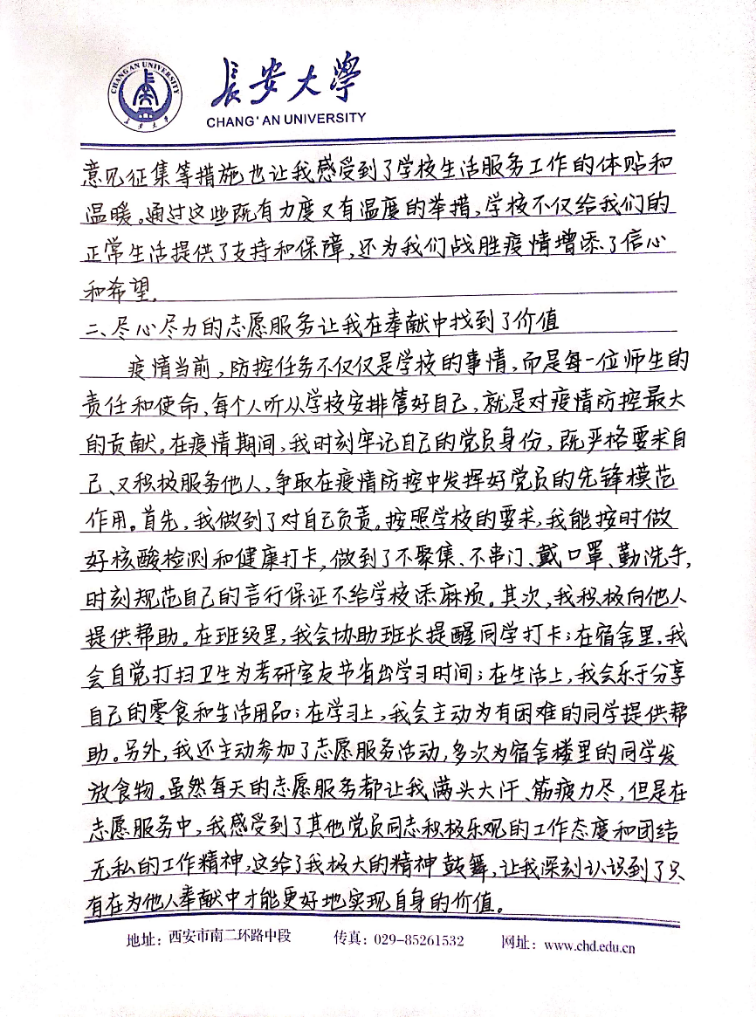
本科生第二党支部正式党员侯亚豪在思想汇报中提到:在防疫志愿服务中,尽管自己有时筋疲力尽,但总会被其他同志们积极乐观的工作态度和团结无私的工作精神所鼓舞。“这让我深刻认识到,只有在为他人奉献中才能更好实现自身价值“侯亚豪同志这样写道。

本科生第二党支部正式党员侯亚豪的思想汇报

本科生第三党支部预备党员孙博旭在思想汇报中写道,我们要感恩那些战斗在第一线的医护人员的不畏艰辛和辛勤付出,要始终坚信在党的领导下,必将凝聚起万众一心、众志成城的强大合力,共同迎来疫情防控这场硬仗的全胜。

本科生第三党支部预备党员孙博旭的思想汇报

本科生第三党支部预备党员杜雨豪在思想汇报中提到:“初心和使命不是空口说出来的,而是真刀真枪干出来的。如何尽到一个党员的职责,不仅仅是停留在口号上。“

本科生第三党支部预备党员杜雨豪的思想汇报

本科生第四党支部正式党员刘铮在思想汇报里表达了对学校的感激和赞扬:面对严峻复杂的疫情,色情游戏 严格的校园管控政策,充分保证了全校师生员工的生命健康和安全,最大程度保证日常生活学习,精确做好各项服务保障工作。坚信我们一定可以打赢疫情防控阻击战。

本科生四党支部正式党员刘铮的思想汇报

本科生第四党支部正式党员刘蒙蒙在汇报中坚定表示:“以国之名,不负人民!以校为盾,护我学子!我是党员,让我先上!“并在汇报中对每一位辛苦付出的党员志愿者表达敬意!

本科生第四党支部正式党员刘蒙蒙的思想汇报

本科生第五党支部预备党员周晶晶在思想汇报中表达了自己对党员责任更深刻的理解:从非典到汶川地震,再到新冠肺炎疫情,是党领导我们一次次顽强斗争,给了我们一个海晏河清的时代。我们作为学生党员也不能单纯做时代的享受者,也要贡献出我们自己的力量。

本科生第五党支部预备党员周晶晶的思想汇报

本科生第五党支部正式党员王蕾在思想汇报中明确表示:“敢于奉献,勇于奉献,甘于奉献”不是在口号中喊出的誓言,更是落实到行动中的责任与担当,我们也要成长为最勇敢的一代,守护好祖国母亲。

本科生第五党支部预备党员王蕾的思想汇报

通过此次抗击疫情的亲身经历和一份份的思想汇报, 色情游戏 本科生党支部全体成员更加深入地理解了作为党员、作为积极向党组织靠拢的新时代青年学子所应承担的责任和担当,也更加坚信只有坚持党的领导,我们国家才能凝聚起万众一心、众志成城的强大精神合力,才能战胜各种艰难险阻!



撰稿:牛佳琪  审核:王达